Sóng dừng là một hiện tượng đặc biệt của sóng hình thành do sự giao thoa giữa sóng tới và sóng phản xạ trên cùng một phương truyền. Vậy những tính chất quan trọng của sóng dừng là gì? Điều kiện nào cần thiết để xảy ra hiện tượng này? AME Group sẽ chia sẻ chi tiết vấn đề này trong bài viết sau.

Sóng dừng là gì?
Sóng dừng hay còn có nhiều tên gọi khác như sóng tĩnh, sóng đứng. Đây là hiện tượng vật lý thú vị khi hai sóng cùng tần số và biên độ nhưng ngược hướng kết hợp với nhau, tạo thành một hệ dao động ổn định. Sóng tĩnh có các điểm cố định không dao động (nút sóng) và những điểm dao động mạnh nhất (bụng sóng) phân bố đều dọc theo phương truyền.
Hiện tượng này xảy ra khi sóng tới và sóng phản xạ gặp nhau, đồng thời thỏa mãn điều kiện cùng phương truyền và ngược chiều. Khi xảy ra hiện tượng vật lý này, sóng tới và sóng phản xạ gặp nhau, đồng thời thỏa mãn điều kiện cùng phương truyền và ngược chiều.

Tính chất của sóng dừng
Trong sóng dừng, các điểm không dao động hoặc dao động yếu nhất được xác định là nút sóng, trong khi những điểm dao động mạnh nhất hình thành bụng sóng. Nút và bụng không phân bố ngẫu nhiên mà tuân theo quy luật nhất định về khoảng cách. Một đặc trưng quan trọng của sóng dừng là sự phân bố đều giữa các nút và bụng:
- Hai nút sóng liền kề luôn cách nhau một khoảng bằng nửa bước sóng (λ/2).
- Nếu xét hai nút bất kỳ, khoảng cách giữa chúng sẽ là bội số nguyên lần nửa bước sóng (kλ/2).
- Vị trí giữa một bụng và nút gần nhất luôn chênh lệch một phần tư bước sóng (λ/4).
- Trong trường hợp tổng quát, nếu chọn một nút và một bụng bất kỳ, khoảng cách này sẽ tuân theo công thức kλ/2 + λ/4.

Điều kiện để xảy ra hiện tượng sóng dừng trên dây
Hiện tượng sóng tĩnh chỉ có thể xảy ra khi thoả mãn điều kiện cần thiết. Theo nghiên cứu của các nhà vật lý học, hai trường hợp phổ biến để có thể xảy ra hiện tượng này như sau:

Trường hợp hai đầu là nút sóng (Hai đầu cố định)
Trong trường hợp hai đầu là nút sóng nghĩa là hai đầu đều cố định, ta có công thức sau:
l=kλ/2 (k là số tự nhiên lớn hơn 0)
Trong đó:
- L là chiều dài dây; K ∈ N*.
- λ là bước sóng.
- k = số bụng sóng = số nút sóng – 1.
- Số bụng sóng = số bó sóng = k.
- Số nút sóng = k+1.
Trường hợp một đầu là nút sóng còn một đầu là bụng sóng (Một đầu cố định, một đầu tự do)
Trong trường hợp một đầu cố định và một đầu tự do, nghĩa là một đầu thuộc nút sóng còn một đầu thuộc bụng sóng. Ta sẽ có công thức:
l=(2k+1)λ/4 (k là số tự nhiên lớn hơn 0)
Trong đó:
- L là chiều dài dây.
- λ là bước sóng.
- K ∈ N; k = số bụng sóng – 1 = số nút sóng – 1.
- Đầu cố định của sóng tĩnh tương đương với 1 nút sóng.
- Khoảng cách giữa hai bụng sóng/nút song liên tiếp = λ/2.
- Khoảng cách giữa bụng sóng và nút sóng liên tiếp lần lượt = λ/4.
- Số bó sóng = k.
- Số bụng sóng = số nút sóng = k+1.
Phương trình sóng dừng
Nếu hai đầu của sóng tĩnh lần lượt là A và B. Ta sẽ có phương trình sóng tĩnh theo từng trường hợp cụ thể như sau:

Trường hợp cả đầu A và đầu B cố định
Trường hợp một, nếu cả hai đầu đều cố định, chúng ta có phương trình sau:
Phương trình sóng tới và sóng phản xạ liên tục tại B là:
![]()
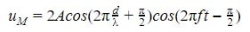
Phương trình sóng dừng tại điểm M cách đầu B một khoảng d:
![]()
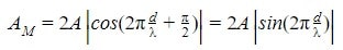
Biên độ dao động của các phần tử tại điểm M:
![]()
Đầu A cố định, đầu B tự do
Trong trường hợp đầu A cố định và đầu B tự do, phương trình sóng tĩnh diễn ra như sau:
Phương trình sóng tới và sóng phản xạ liên tục tại B là:
![]()
Phương trình sóng dừng tại điểm M cách đầu B một khoảng d:
![]()
Biên độ dao động của các phần tử tại điểm M:

Ứng dụng của sóng dừng
Thông thường, hiện tượng sóng tĩnh được ứng dụng để thực hiện đo lường trong hai trường hợp phổ biến sau:
- Ứng dụng đo bước sóng.
- Ứng dụng đo lường tốc độ truyền sóng.
Qua bài viết trên, AME Group đã chia sẻ về hiện tượng vật lý sóng dừng. Đồng thời, giải đáp một số thắc mắc về tính chất, điều kiện để xảy ra hiện tượng trên. Hy vọng những chia sẻ của chúng tôi đã cung cấp cho bạn thêm kiến thức vật lý hữu ích.