Có rất nhiều công thức tính tiết diện, một trong số đó là công thức tính tiết diện dây dẫn theo chiều dài. Cụ thể công thức này được tính toán và áp dụng ra sao? Cùng AME Group đi tìm hiểu ngay nhé.

Công thức tính tiết diện dây dẫn theo chiều dài
Chiều dài dây dẫn điện là thông số mà chúng ta có thể dễ dàng biết được. Nếu khi mua nguyên cuộn, thông thường chiều dài cuộn dây sẽ được các hãng sản xuất in cụ thể trên bao bì sản phẩm. Nếu mua lẻ, bạn có thể sử dụng thước đó để đo chiều dài dây dẫn.
Vì vậy tính tiết diện dây dẫn dựa vào chiều dài của dây là công thức không quá khó, chỉ cần chúng ta kết hợp thêm một số đại lượng khác sẽ ra được tiết diện dây. Việc biết được tiết diện dây dẫn bao nhiêu sẽ giúp chúng ta chọn được loại dây phù hợp với yêu cầu sử dụng của bản thân.
Từ công thức tính điện trở dưới đây:

Chúng ta sẽ suy ra được công thức tính tiết diện dây dẫn:

Trong đó:
- S: Tiết diện của dây (m2)
- ρ: Điện trở suất của dây (Ωm)
- l: Chiều dài dây (m)
- R: Điện trở (Ω)
- I: Cường độ dòng điện (A)
- U: Hiệu điện thế (V)

Xem thêm các công thức khác tại:
Ví dụ minh họa
Để các bạn có thể hiểu hơn về công thức tính toán trên, chúng ta cùng thực hiện một số bài tập vận dụng nhé:
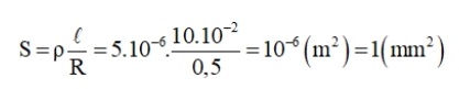
Bài 1: Cho một đoạn dây dẫn với các thông số sau:
- Điện trở 0,5Ω
- Chiều dài 10cm.
- Điện trở suất của chất làm dây là 5.10-6Ωm.
Tính bán kính của đoạn dây dẫn này.
Trả lời:
Dựa vào công thức tính tiết diện dây dẫn phía trên ta có:

Ta có:

Bài 2: Một cơ sở sản xuất lõi dây điện từ 1 tấn đồng. Mỗi mét dây sử dụng sẽ có điện trở 0,005Ω. Coi dây dẫn có hình trụ, điện trở suất của đồng là 1,72.10-8Ωm, khối lượng riêng của đồng là 8,96. Tính chiều dài dây dẫn mà cơ sở đó sản xuất được.
Trả lời:
Đổi: 8,96g/cm3 = 8960 kg/m3
Dựa vào công thức tính tiết diện, ta có:

Từ công thức: m = D.V = D.S.

Mời quý vị tham khảo các mẫu dây cáp Cadivi được ưa chuộng nhất tại: Bảng Giá Dây Điện Cadivi Chính Hãng Mới Nhất
Như vậy với những gì mà AME Group chia sẻ trong bài viết, bạn đã biết được công thức tính tiết diện dây dẫn theo chiều dài cũng như có thể hiểu hơn về công thức đó thông qua các bài tập thực tế rồi đúng không nào.